晨光新闻网

生科院陈林博士在国际著名期刊上发表重要成果

发布日期:2022-12-31    浏览次数:

  本网讯(通讯员 王媛)近日,国际SCI期刊International Journal of Biological Macromolecules(中科院一区,影响因子8.025)在线发表了我校生命科学与技术学院陈林博士题为“Genome-wide study and functional characterization elucidates the potential association of late embryogenesis abundant (LEA) genes with lotus seed development”的研究论文,通过对莲中LEA蛋白进行系统分析,揭示了其参与调控莲子发育过程的潜在功能。

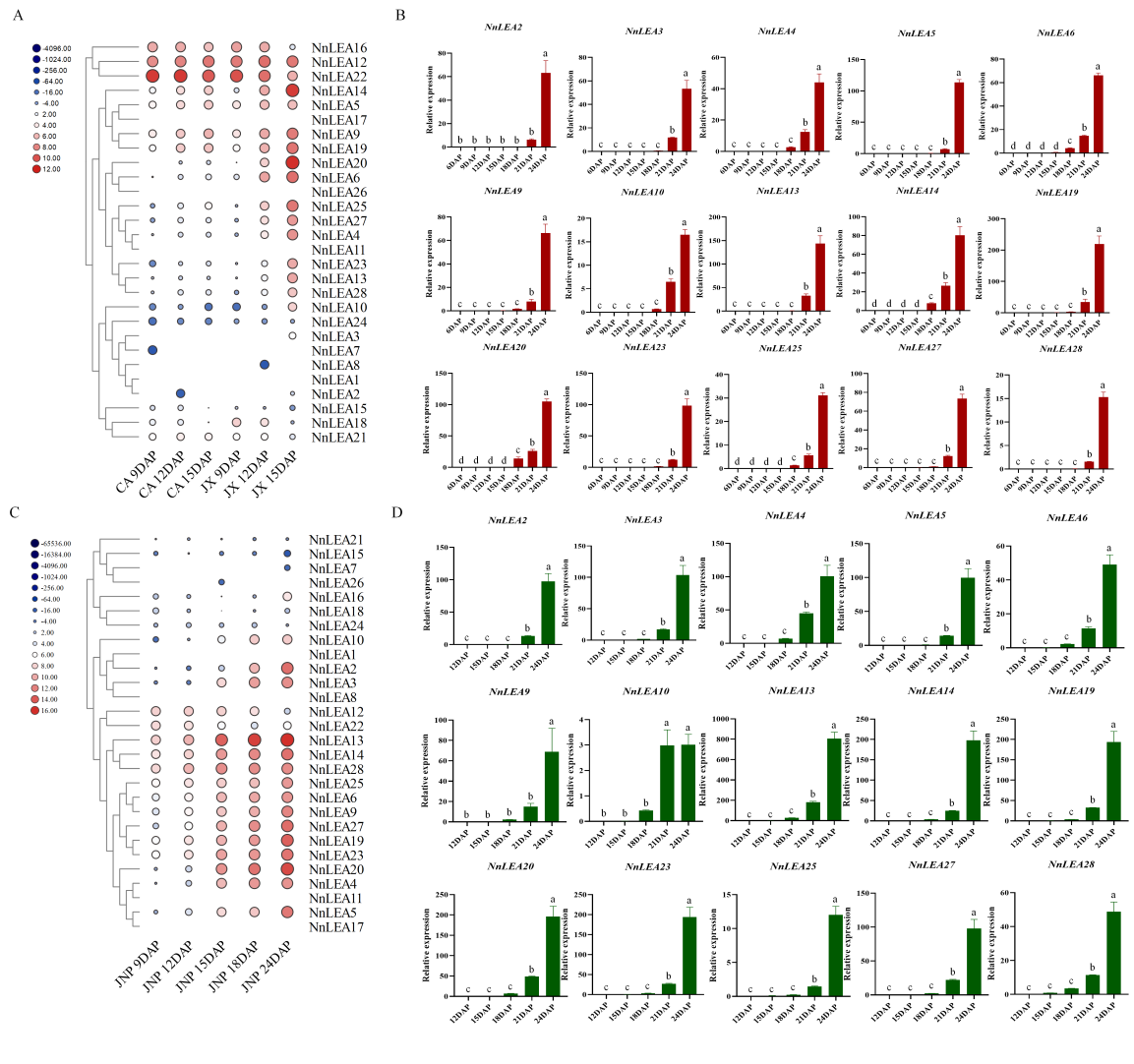
  晚期胚胎发育丰富蛋白(Late embryogenesis abundant protein,LEA)是一类逆境胁迫响应蛋白,能够参与保护大分子和细胞结构,增强植物对非生物胁迫的耐受性。研究者在莲属(亚洲莲和美洲黄莲)中共鉴定到57个LEA蛋白,并对其理化特征进行了系统分析。鉴于LEA蛋白结构高度无序性,及其在行使功能期间构象的变化,研究者对所有蛋白的无序性以及二级结构进行了预测,并对不同亚组的保守结构域中的潜在α-螺旋进行了重现。进一步分析发现,在亚洲莲LEA基因启动子区域鉴定到大量参与到了植物发育以及逆境响应过程的顺式作用元件,同时结合本研究组前期发表的转录组数据,研究者推测NnLEA基因可能参与调控莲子发育过程。qRT-PCR结果表明,NnLEA基因随子叶和莲子心发育显著上调表达,特别是在莲子脱水成熟阶段优势表达(详见图1)。因此研究者认为NnLEA基因在莲子心的发育及种子干燥脱水过程中发挥了重要作用。

图片2.png
莲发育过程中NnLEAs的表达分析。(A)莲子叶发育和(B)莲子心不同发育期间NnLEAs的表达模式。qRT-PCR分析不同时期莲子叶(C)和莲子心(D)中NnLEAs表达模式。

  莲子是我国一种传统的滋补、食药两用的佳品,具有健脾养胃,降血压、调节血糖和凝神静气等功效。莲子是莲的种子,具有广泛的经济价值,近年来子莲产业发展迅速,在促进农民增收方面发挥着重要的作用。种子成熟后脱水对于种子的携带,运输和长时期储存具有重要作用。本研究揭示了LEA蛋白在莲子发育和干燥脱水过程中的潜在功能,为后期揭示LEA蛋白调控莲子脱水和长寿机制提供了理论基础。

上一篇
下一篇